Journal of International Business Research and Marketing
Volume 3, Issue 5, July 2018, Pages 7-11
An Examination of the Relationship between Volatility and Expected Returns in the BRVM Stock Market
DOI: 10.18775/jibrm.1849-8558.2015.35.3001
URL: http://dx.doi.org/10.18775/jibrm.1849-8558.2015.35.3001![]()
Godwin Olasehinde-Williams
Eastern Mediterranean University, Northern Cyprus, via Mersin 10, Turkey
Abstract: Financial theory suggests that volatility affects average stock returns positively. It is claimed that markets reward economic agents for the risk they assume with higher returns. This study uses an ARMA (1, 2)-GARCH (1, 1)-M technique to examine the impact of volatility on BRVM stock returns in the integrated regional West African stock market. A positive but insignificant relationship was found between volatility and stock returns. The study concludes that there is no significant feedback from volatility to average returns in the stock market. Our findings indicate that investors are not compensated for taking risks in the regional stock market.
Keywords: GARCH-M, ARMA, BRVM, WAEMU, Risk-returns trade-off, Volatility
An Examination of the Relationship between Volatility and Expected Returns in the BRVM Stock Market
1. Introduction
The possibility that actual returns on investment may differ from the expected returns has remained an issue of great concern in investment theory, mainly because such differences mean that investors stand the risk of losing some or all of their investments. A study that investigates the effect of volatility on stock returns, especially in less developed regions like West Africa is therefore useful for several reasons, the most obvious being the need to weigh the risks associated with holding a particular kind of asset and how such risks influence investors’ disposition towards risk-taking. According to Hu (1995), the higher the stock market volatility, the higher the level of risk associated with equity investment; this consequently results in funds transfer from equity to debt.
A second important reason is to determine if it is possible to extract a non-random pattern from stock return series. The existence of such predictable patterns will result in a profitable trading rule (Doong & Chiang, 2001). The higher than ever current level of economic integration worldwide is another key reason. According to Kumar (2013), as more countries adopt neo-liberal economic policies and economic integration widens, volatility is also expected to increase.
As a result of the aforementioned reasons, this paper examines the relationship between volatility and expected stock returns in the West African Economic and Monetary Union (WAEMU) regional stock market (BRVM). The BRVM series is of particular interest to us because of its uniqueness in terms of financial integration. To achieve this objective, we test the following null (H0) and alternative (H1) hypotheses:
H0A: Volatility has a positive and statistically significant relationship with expected returns in the BRVM stock market.
H1A: Volatility has a positive but statistically insignificant relationship with expected returns in the BRVM stock market.
H0B: Volatility has a negative and statistically significant relationship with expected returns in the BRVM stock market.
H1B: Volatility has a negative but statistically insignificant relationship with expected returns in the BRVM stock market.
The rest of this study is structured as follows. The second part provides a brief overview of WAEMU. The third part reviews the relevant literature. The fourth part gives a description of the data employed and methodology adopted. The fifth gives a summary of the results obtained and the sixth part which ends the study provides the conclusions reached from the empirical analysis carried out.
2. Brief Overview
The West African Economic and Monetary Union (WAEMU) is made up of 8 Francophone West African countries (Benin, Burkina Faso, Ivory Coast, Guinea-Bissau, Mali, Niger, Senegal, and Togo) that share the CFA as a common currency. The organization was established in 1994 with the mandate to encourage economic integration among member states.
The WAEMU financial structure consists of a banking sector, microfinance institutions, and a regional stock market. The regional stock market, called the Bourse Regionale des Valeurs Mobilieres SA (BRVM), was created by the WAEMU member states in 1996 to enhance market integration within the region and it started operations in 1998. It is an electronic exchange with a central site in Abidjan, the Ivory Coast capital, and branches in all the capital cities of the member states. Two value-weighted indexes reflect the Market activities in the exchange—the BRVM composite index, made up of all listed securities in the stock exchange, and the BRVM 10 index, made up of the ten most actively traded stocks in the exchange. BRVM activities are regulated by the Le Conseil Régional de l'Epargne Publique et des Marchés Financiers (CREPMF), a body saddled with the responsibility of establishing procedures and policies that guide the operations of the exchange.
3. Literature Review
The pioneer works of authors such as Sharpe (1964), Lintner (1965) and Mossin (1966) established the risk-returns nexus as an important area of research. These authors were the first to conclude that a positive relationship exists between risks and returns. Through the asset pricing models which they introduced, they found that in general, investors who are risk-averse will expect to be rewarded to make riskier investments. Following the work of these authors, many researchers have also attempted to shed additional light on this topic by conducting empirical research on the inter-linkage between volatility and returns in stock markets. Their efforts have however led to conflicting results reviewed below.
Turner et al. (1989) analyze the time series of a weighted index of 500 stock prices between 1946 and 1987. The authors test how variance and mean returns interact within the series using a Markov mean and variance model. Their result suggests that when economic agents are uncertain about volatility conditions, a positive relationship will exist between mean returns and variance. They claim that higher returns are associated with high variance periods. Likewise, Pástor et al. (2008) investigate the relationship between volatility and mean returns of stock in the G-7 countries from 1981 to 2002. Using an Implied Cost of Capital (ICC) framework, the authors find a positive relationship between conditional variance and stock returns.
On the other hand, Glosten, Jagannathan, and Runkle (1993) through a modified GARCH-M, provide evidence in support of a negative relationship between expected monthly return and conditional variance of monthly return in the New York Stock Exchange (NYSE) for the period from 1951:4 to 1989:12. Li et al. (2005) also examine how volatility is related to stock market returns in 12 international stock markets. The study covers the period between 1980 and 2001. Using an E-GARCH in the mean model, the findings show that a negative and significant relationship exists between volatility and returns.
Another study by Dimitriou and Simos (2011) investigates the relationship between expected returns and volatility in 12 EMU and five non-EMU countries from 1992 to 2007 using a semi-parametric GARCH in the mean model; they find evidence in support of a negative relationship in almost all of the markets. Similarly, Hofileña and Tomaliwan (2014) also examine the risk-return relationship for the period 1994-2012 in the Philippines stock exchange. The ARCH family processes (E-GARCH and GJR-GARCH) were adopted in the research. The authors came to the same conclusion as Li et al. (2005) that the risk-return relationship is negative.
In contrast, authors like Baillie and DeGennaro (1990), Chan et al. (1992), Theodossiou and Lee (1995), Koulakiotis, Papasyriopoulos and Molyneux (2006), and Léon (2007) who also examine the same issue come to the conclusion that the relationship between mean returns and standard deviation is non-existent, or at best, weak. Worthy of particular mention is the study of the West African Economic and Monetary Union (WAEMU) regional stock market (BRVM) by Léon (2007). With the aid of an E-GARCH in mean methodology, he finds a positive and insignificant result in the risk-return relationship for the period 1999-2005.
4. Data and Methodology
4.1 Data for Analysis
The BRVM 10 daily closing price index data, accessed from the Bourse Regionale des Valeurs Mobilieres website, is the sample data used in this study. The study covers the period between 16th September 1998 and 29th January 2017. The BRVM 10 index, which accounts for approximately 70% of market activities, is preferred because it makes it possible to focus the research on only the most active companies in the exchange.
The BRVM daily stock returns were obtained with the formula:

Where: Rt is the daily log returns of BRVM stocks, 〖BRVM〗_t^10 refers to BRVM 10 daily closing price index, and 〖BRVM (t-1)^10)] represents the BRVM 10 price index for the immediate past period.
4.2 Descriptive Statistics
Table 1 provides the summary statistics for the BRVM 10 daily returns. The reported figures show that while the mean return value of 0.02195 is not far from zero, the standard deviation value of 2.7 suggests high volatility in the series. Also, the series is slightly skewed to the right and shows signs of fat tails (leptokurtic) with a kurtosis value substantially greater than 3 for normal distribution. The observed significant Jarque-Bera estimate leads to the rejection of the null of normal distribution and further confirms that the data is not normally distributed; this is an indication that conventional econometric techniques are not appropriate for this analysis. This position is supported by the significant ARCH L-M test result which confirms the presence of ARCH effect (conditional heteroscedasticity) in the series.
The reported Q50 is the Ljung-Box statistic which tests for independence of the BRVM 10 returns series to the 50th lag. The Q50 along with the ACF (Ρ10 to Ρ50) results show the presence of dependence (autocorrelation) in the series. We thus conclude that there is a presence of volatility clustering in the data series. The volatility clustering is observable through visual inspection of figure 1. The implication of this is that periods of low volatility tend to be followed by periods of low volatility and periods of high volatility tend to be followed by periods of high volatility. Hence, past values of BRVM 10 returns are expected to influence its current values.
Stationarity of the returns series was tested with the Augmented Dickey-Fuller (ADF) test. The test rejects the null of non-stationarity in the series.
Table 1: Descriptive Statistics for BRVM 10 Daily Returns
| Mean | 0.022 |
| S.D | 2.7 |
| Skewness | 0.181 |
| Kurtosis | 1592.6 |
| Jarque-Bera | 47700.12*** |
| Ρ10 | 0.010*** |
| Ρ20 | 0.000*** |
| Ρ30 | 0.003*** |
| Ρ40 | 0.010*** |
| Ρ50 | 0.002*** |
| Q50 | 881*** |
| ADF unit root test | -44.6*** |
| Arch l-m test | 181.7*** |
Note: *, ** and *** mean statistic relationship significant at 10%, 5%, 1%, respectively.

Figure 1: Graph Showing Plot of Residuals
4.3 Methodology
The presence of conditional heteroscedasticity was revealed in the BRVM 10 returns series. This is in line with the findings of Bollerslev (1986) that stock returns data are characterized by dependence and volatility clustering.
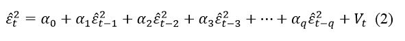
Such series are best estimated using ARCH (autoregressive conditional heteroscedasticity) models (Engle, 1982) or the generalized form of ARCH models called GARCH (generalized conditional heteroscedasticity) models (Bollerslev, 1986). An ARCH process estimates conditional variance as an autoregressive (AR) model with squared residuals. A typical ARCH (q) model is given as:

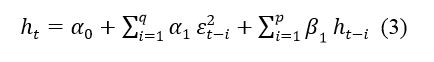
While a GARCH process is made up of autoregressive (AR) and moving average (MA) components and typically specified as:

Here, ht represents the conditional variance. Also, the error component is given as:
![]()
A GARCH (p, q) process is equal to a specific ARCH (∞) process and is preferable because it is more parsimonious. ARCH models are characterized by relatively large p values when compared with GARCH processes.
A GARCH (1, 1) model is usually sufficient for estimating most financial series; in fact, it is difficult to find any model that is superior to a GARCH (I, 1) model in estimating volatility. See Zivot (2008).
Also, according to Brooks (2008), a GARCH in the mean model in which conditional variance of an asset return is introduced into the mean equation makes the estimation of the risk premium associated with the asset returns possible. We can explicitly estimate the effects of risk or volatility on mean stock returns with a GARCH in the mean model.
4.4 Model Specification
As suggested by the Box-Jenkins methodology, we examined the autocorrelation function (ACF) and the partial autocorrelation function (PACF) patterns of decay and also compared the Akaike information criterion (AIC) and the Bayesian information criterion (BIC) up to the third lags. Tables two and three present the information criteria results. The most appropriate model found for the mean equation is an ARMA (1, 2) model containing the conditional standard deviation of the returns.
Table 2: Akaike Information Criterion
| MA | |||||
| 0 | 1 | 2 | 3 | ||
| AR | 0 | 4.821 | 4.546 | 4.545 | 4.544 |
| 1 | 4.600 | 4.545 | 4.542 | 4.543 | |
| 2 | 4.558 | 4.544 | 4.543 | 4.543 | |
| 3 | 4.546 | 4.544 | 4.543 | 4.543 | |
Table 3: Bayesian Information Criterion
| MA | |||||
| 0 | 1 | 2 | 3 | ||
| AR | 0 | 4.822 | 4.549 | 4.549 | 4.550 |
| 1 | 4.600 | 4.549 | 4.548 | 4.550 | |
| 2 | 4.563 | 4.550 | 4.550 | 4.552 | |
| 3 | 4.552 | 4.551 | 4.552 | 4.553 | |
The mean equation is, therefore, specified as:
![]()
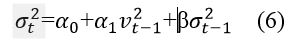
Where: Rt = BRVM 10 returns, Rt-1 = lag of BRVM 10 returns, εt, εt-1 and εt-2 = the residual, and its 1st 2nd lags respectively, δ= risk premium parameter, σt-1 = lag of conditional standard deviation and vt = error term. Also, we specify the following variance equation.
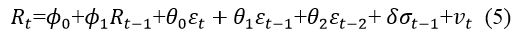
![]()
Where: =conditional variance of Rt (expected volatility), = ARCH term, = GARCH term. This study, therefore, adopts an ARMA (1, 2)-GARCH (1, 1)-M model.
5. Result Summary and Diagnostic Check
5.1 Results
Table 4 presents the estimation outcomes of the ARMA (1, 2)-GARCH (1, 1)-M model. First considering the mean equation, all AR and MA terms are significant at 1%; this justifies their inclusion in the model. The risk premium term, δ, has a positive but insignificant value. This study thus provides no evidence in support of a significant relationship between volatility and the BRVM stock returns. This finding is in tandem with the conclusion reached by Baillie and DeGennaro (1990), Chan et al. (1992), Theodossiou and Lee (1995), Koulakiotis, Papasyriopoulos and Molyneux, (2006) and Léon (2007) that there is no significant relationship between volatility and returns.
For the variance equation, α1 and β, representing coefficients of lagged Residual Square and lagged conditional variance respectively are both positive and significant. Also, both coefficients sum up to 0.85, this is close to but less than unity as is expected of asset returns data. The inference here is that any shock to the conditional variance will be persistent. See Poterba and Summers (1986).
Table 4: ARMA (1, 2)-GARCH (1, 1)-M Results
| Parameters | Estimates | Std. errors | P-values |
| mean equation | |||
| ɸ0 | -0.016 | 0.024 | 0.503 |
| ɸ1 | 0.851*** | 0.054 | 0.000 |
| Θ1 | -0.877*** | 0.055 | 0.000 |
| Θ2 | 0.056*** | 0.018 | 0.001 |
| Δ | 0.779 | 0.547 | 0.155 |
| variance equation | |||
| α0 | 0.071*** | 0.004 | 0.000 |
| α1 | 0.199*** | 0.012 | 0.000 |
| Β | 0.651*** | 0.013 | 0.000 |
| α1 + β | 0.85 | ||
Note: *, ** and *** mean statistic relationship significant at 10%, 5%, 1%, respectively
5.2 Diagnostic Check
As a form of a diagnostic check, we again examined the Ljung-Box Q-statistics from the correlograms for both the standardized residuals and their squares. The results obtained are insignificant, leading to our rejection of the null of autocorrelation and thus confirming the absence of dependency. We may, therefore, conclude that the residuals are now white noise, normally distributed and free from ARCH effect. It is thus safe to assume that the ARMA (1, 1)-GARCH (1, 1)-M model is well specified and sufficient for explaining the variations in BRVM returns.
6. Conclusion
This study examined the impact of volatility on BRVM stock returns within a specified ARMA (1, 2)-GARCH (1, 1)-M framework. Key findings show the following; first, the sum of α_1and β is less than but close to 1; this is a characteristic of a slow mean reverting process, it establishes the persistence of shocks to the conditional variance. The implication is that any large negative/positive return at some given period will lead to large values of future variance forecasts over a relatively long period in the BRVM market.
Second, the risk premium is positive but statistically insignificant. This indicates that there is no feedback from volatility to average returns and suggests that investors in the regional market are not compensated for the risks they take. Factors such as low market profitability and interest/dividend income taxation have been cited as some of the probable reasons why a market may not adequately compensate its investors.
Also, a predictable pattern of BRVM returns series cannot be deciphered with the conditional variance of the BRVM market. It may thus be worthwhile to investigate other approaches to revealing such patterns.
References
- Baillie, R. T., & DeGennaro, R. P. (1990). Stock returns and volatility. Journal of Financial and Quantitative Analysis, 25(2), 203-214. Crossref
- Bollerslev, T. (1986). Generalized autoregressive conditional heteroskedasticity. Journal of Econometrics, 31(3), 307-327. Crossref
- Brooks, C. (2008). Introductory Econometrics for Finance (2nd ed.). Cambridge University Press. Crossref
- Chan, K. C., Karolyi, G. A., & Stulz, R. (1992). Global financial markets and the risk premium on US equity. Journal of Financial Economics, 32(2), 137-167. Crossref
- Chiang, T. C., & Doong, S. C. (2001). Empirical analysis of stock returns and volatility: Evidence from seven Asian stock markets based on TAR-GARCH model. Review of Quantitative Finance and Accounting, 17(3), 301-318. Crossref
- Dimitriou, D., & Simos, T. (2011). The relationship between stock returns and volatility in the seventeen largest international stock markets: A semi-parametric approach.
- Glosten, L. R., Jagannathan, R., & Runkle, D. E. (1993). On the relation between the expected value and the volatility of the nominal excess return on stocks. The journal of finance, 48(5), 1779-1801. Crossref
- Engle, R. F. (1982). Autoregressive conditional heteroscedasticity with estimates of the variance of United Kingdom inflation. Econometrica: Journal of the Econometric Society, 987-1007. Crossref
- Hofileña, D., & Tomaliwan, M. F. (2014). Measuring Asymmetric Volatility and Stock Returns in the Philippine. DLSU Research Congress. Manilla: De La Salle University.
- Hu, Z. (1995). Stock market volatility and corporate investment (No. 95-102). International Monetary Fund.
- Koulakiotis, A., Papasyriopoulos, N., & Molyneux, P. (2006). More evidence on the relationship between stock price returns and volatility: A note. International Research Journal of Finance and Economics, 1(1), 21-28.
- Kumar, R. (2013). Empirical Analysis of Stock Return Volatility by using ARCH-GARCH models: A case of Indian Stock Market. International Journal of Scientific Research, 2(2), 202-206. Crossref
- Léon, K. (2007). Stock market returns and volatility in the BRVM. African Journal of Business Management, 1(5).
- Li, Q., Yang, J., Hsiao, C., & Chang, Y. J. (2005). The relationship between stock returns and volatility in international stock markets. Journal of Empirical Finance, 12(5), 650-665. Crossref
- Lintner, J. (1965). The Valuation of Risk Assets and the Selection of Risky Investments in Stock Portfolios and Capital Budgets. The Review of Economics and Statistics, 13-37. Crossref
- Mossin, J. (1966). Equilibrium in a capital asset market. Econometrica: Journal of the econometric society, 768-783. Crossref
- Pástor, Ľ., Sinha, M., & Swaminathan, B. (2008). Estimating the intertemporal risk-return tradeoff using the implied cost of capital. The Journal of Finance, 63(6), 2859-2897. Crossref
- Poterba, J. M., & Summers, L. H. (1986). The Persistence of Volatility and Stock Market Fluctuations. The American Economic Review, 76(5), 1142-1151.
- Sharpe, W. F. (1964). Capital asset prices: A theory of market equilibrium under conditions of risk. The journal of finance, 19(3), 425-442.
- Theodossiou, P., & Lee, U. (1995). The relationship between volatility and expected returns across international stock markets. Journal of Business Finance & Accounting, 22(2), 289-300. Crossref
- Turner, C. M., Startz, R., & Nelson, C. R. (1989). A Markov model of heteroskedasticity, risk, and learning in the stock market. Journal of Financial Economics, 25(1), 3-22. Crossref



