Cite
| Harvard | Papakonstantinidis, L., 2026. The Win-Win-Win Papakonstantinidis Model. International Journal of Innovation and Economic Development, 11(6), pp.7-27. |
| APA | Papakonstantinidis, L. (2026). The Win-Win-Win Papakonstantinidis Model. International Journal of Innovation and Economic Development, 11(6), 7-27. |
| Vancouver | Papakonstantinidis L. The Win-Win-Win Papakonstantinidis Model. International Journal of Innovation and Economic Development. 2026 Feb,11(6):7-27. |
| MLA | Papakonstantinidis, Leonidas. "The Win-Win-Win Papakonstantinidis Model." International Journal of Innovation and Economic Development 11.6 (2026): 7-27. |
| Chicago | Papakonstantinidis, Leonidas. "The Win-Win-Win Papakonstantinidis Model." International Journal of Innovation and Economic Development 11, no.6 (2026): 7-27. |
Suggested articles
International Journal of Innovation and Economic Development
Volume 11, Issue 6, February 2026, Pages 7-27
The Win-Win-Win Papakonstantinidis Model
URL: https://doi.org/10.18775/ijied.1849-7551-7020.2015.116.2001
DOI: 10.18775/ijied.1849-7551-7020.2015.116.2001
Leonidas Papakonstantinidis 1
1 Prof Emeritus, IMA Academician, Department of Management and Economics, University of Peloponnese, Kalamata, Greece
Abstract: The Win-Win-Win Papakonstantinidis Model is a strategic bargaining and conflict resolution framework that expands the traditional "win-win" scenario to include a third, crucial stakeholder: the Community. It aims to achieve mutually beneficial outcomes for all three parties (e.g., businesses/individuals, other involved parties, and society/the environment) by integrating social responsibility, ethics, and empathy into decision-making processes. The model moves beyond pure economic rationality and competition to a more holistic approach that incorporates social motivation and collective welfare: 1) Tripartite Focus: It transforms two-party negotiations into a three-dimensional process, ensuring outcomes benefit "me," "you," and "the community"; 2) Empathy and Social Justice: The framework suggests that cooperation is driven by empathy and social trust, not just competition. It emphasizes the "sensitization process" where participants consider community norms and social justice.
Keywords: the win-win-win perspective Bargaining Theory, the Community, Game Theory, Nash extension, Behavioral analysis, Pareto efficiency, Stakeholders Analysis
1. Introduction
The Win-Win-Win Papakonstantinidis model is a strategic and ethical framework for conflict resolution and decision-making that extends the traditional two-party "win-win" concept to include a third, crucial stakeholder: the Community. This tripartite approach aims for outcomes that are mutually beneficial for all three parties involved.
In specific, the Win-Win-Win Papakonstantinidis Model is a strategic framework, extending traditional win-win game theory, that seeks cooperative, mutually beneficial outcomes for three parties in complex negotiations, often applied in local development and governance to balance businesses (economic win), society (social win), and the environment (ecological win), using behavioral science to transform technical conflicts into collaborative solutions through empathy, shared understanding, and a "Flag Theme" for community unity.
- Beyond Pareto Efficiency: While traditional models (like Pareto optimality) focus on resource allocation where no one can be made better off without making another worse off, the Win-Win-Win model introduces the community (the "C" factor) to add quality elements like equality and justice, aiming for a higher "equi-harmony" point that maximizes the triple utility for all involved.
- Behavioral Methodologies: The model uses behavioral analysis to transform perceptions and encourage "active participation" and self-organization within communities, particularly in local development and governance decisions.
Application of AI in the Model
Recent research has explored the integration of Artificial Intelligence (AI) with the Papakonstantinidis model to enhance community growth and social cohesion. - Data Integration and Participatory Tools: AI platforms can process large-scale community data to optimize resource allocation, enhance participatory governance, and mediate stakeholder involvement, thus addressing systemic inequalities.
- Empowering Social Economy Enterprises (SEEs): AI marketing platforms can help SEEs (which prioritize social and environmental sustainability over profit) engage with stakeholders more effectively, bridging the gap with established businesses and promoting local sustainable growth.
- Predicting Behavior: Unlike the standard stakeholder model, the Win-Win-Win model can use AI-compatible quantitative foundations to predict the behavior of bargainers by modeling individual decision-making, which helps in designing better public health strategies or local policies
CORE PRINCIPLES:
Three-Pole Negotiation: Moves beyond two-party "win-win" to incorporate three key actors: Businesses (economic), State/Authorities (governance), and the local Community (social/environmental).
Holistic Integration: Integrates economic success, social responsibility, and environmental sustainability into a single framework.
Behavioral Focus: Uses techniques like Descriptive Behavior (DB) and Applied Behavioral Analysis (ABA) to understand and shift community perceptions from technical disputes to behavioral cooperation.
Sensitization Process: A key step involving information sharing and dialogue to build empathy and shared identity, often around a local "Flag Theme" (e.g., a historical story, natural feature).
Nash Extension: Builds on John Nash's cooperative game theory, but adds the community's collective utility (the "C" factor) to individual payoffs.
2. Literature Review
Given the ambiguity of the exact model, my literature review will focus on related concepts in strategy, sustainability, and stakeholder theory:
- Stakeholder Theory (Freeman, 1984): This foundational work emphasizes the importance of managing relationships with all stakeholders who can affect or are affected by an organization's actions. It highlights the ethical responsibility of considering multiple perspectives beyond shareholder value. This is essential for achieving win-win-win outcomes. Key takeaway: Identify and prioritize stakeholders to understand their needs and align them with organizational goals.
- Triple Bottom Line (Elkington, 1997): The TBL framework suggests that businesses should measure their performance across three dimensions: profit, people, and planet. It advocates for integrated strategies that create value in all three areas simultaneously. Key takeaway: Develop metrics and targets for economic, social, and environmental performance, and integrate them into decision-making processes.
- Creating Shared Value (Porter & Kramer, 2011): This concept argues that businesses can create economic value by addressing social needs and challenges. It emphasizes finding opportunities where business success and social progress are mutually reinforcing. Key takeaway: Identify social problems that align with the company's core business and develop solutions that generate both economic and social value.
- Sustainable Development Goals (SDGs): The SDGs provide a global framework for addressing a wide range of social, economic, and environmental challenges. Businesses can align their strategies with the SDGs to contribute to sustainable development and create win-win-win outcomes. Key takeaway: Prioritize SDGs that are relevant to the company's industry and operations, and develop initiatives that contribute to achieving those goals.
- Corporate Social Responsibility (CSR): CSR encompasses a broad range of activities that companies undertake to address their social and environmental impacts. Effective CSR initiatives can generate positive outcomes for both the company and its stakeholders. Key takeaway: Implement CSR initiatives that are aligned with the company's values and contribute to addressing significant social or environmental issues. Ensure transparency and accountability in CSR reporting.
- Business Ethics Literature: Ethical decision-making is crucial for ensuring that all stakeholders are treated fairly and that win-win-win outcomes are achieved sustainably. Key takeaway: Establish a strong ethical culture within the organization and promote ethical behavior at all levels.
- Game Theory: Models like the Nash Equilibrium or Cooperative Game Theory can be used to analyze situations where multiple actors seek to maximize their outcomes, and how cooperation can lead to mutually beneficial results, thus achieving a win-win-win. Key takeaway: Analyze the interactions between different stakeholders and identify opportunities for cooperation and mutual benefit.
- Systems Thinking: Understanding the interconnectedness of different systems (economic, social, environmental) is essential for identifying leverage points where interventions can generate positive ripple effects across multiple stakeholders. Key takeaway: Adopt a holistic perspective and consider the broader implications of business decisions on the environment and society.
Best Solution (Hypothetical, Based on General Principles)
Given the lack of specific detail on the "Papakonstantinidis Model", a "best" solution is necessarily broad. It would entail a structured approach to integrating sustainability and stakeholder considerations into strategic decision-making
3. Research Methodology
The proposed methodology prioritize stakeholder engagement, ethical considerations, and practical relevance to ensure all parties benefit.
I. Problem Identification & Framing (Key Step: Stakeholder Identification)
Define the Research Problem:
Stakeholder Analysis: KEY STEP: I Identified the relevant stakeholder groups who are affected by the problem or whose involvement is crucial for finding a solution. This involves:
Brainstorming potential stakeholders.
Prioritizing stakeholders based on their level of influence and interest.
Mapping the relationships and dependencies between stakeholders.
Defining the potential benefits for each stakeholder group.
Initial Literature Review: Conduct a preliminary literature review to understand existing research on the problem and identify gaps in knowledge. Pay particular attention to studies that have considered the perspectives of different stakeholders.
Refine Research Question: Refine the research question based on the stakeholder analysis and literature review. Ensure the research question is relevant and meaningful to all the identified stakeholder groups.
STAKEHOLDER ANALYSIS
Stakeholder Analysis: Key Steps
The stakeholder analysis process involves these critical steps:
- Identify Stakeholders: List all individuals, groups, or organizations affected by or able to influence the project or situation. This is the crucial first step.
- Analyze Stakeholder Interests & Influence: Determine each stakeholder's:
- Interests: What they hope to gain, what they fear losing, their needs, and expectations.
- Influence/Power: Their ability to affect the project's outcome, positively or negatively. This could be through authority, resources, knowledge, or political connections.
- Potential Impact: The likely positive or negative effect the project might have on them.
- Stakeholder Mapping: Visually represent stakeholders based on their influence and interest (e.g., using a power/interest grid).
- Develop Stakeholder Management Strategies: Plan how to engage with each stakeholder group based on their interests, influence, and potential impact. This includes strategies for:
- Keeping them informed.
- Managing their expectations.
- Mitigating negative impacts.
- Maximizing positive impacts.
- Involving them in decision-making (where appropriate).
Example: Renewable Energy Project
Identify Stakeholders:
Primary: The energy company implementing the project. The local residents who will receive electricity.
Secondary: Local businesses, landowners whose property is used for the project, construction workers involved in building the facility, local government.
Contextual: Future generations, the environment (considering impact on wildlife, land use, etc.), the broader regional economy.
Table 1
| Stakeholder | Interests | Influence | Potential Impact |
| Energy Company | Profitability, meeting renewable energy targets, positive public image | High (financial resources, technical expertise) | Positive (increased revenue, market share), Negative (if project fails, cost overruns) |
| Local Residents | Affordable electricity, reliable power supply, community benefits | Medium (voting power, ability to protest) | Positive (access to electricity, lower costs), Negative (noise, visual impact, disruption) |
| Local Businesses | Reliable electricity, economic growth, increased customer base | Medium (local lobbying, business relationships) | Positive (increased business), Negative (disruptions during construction) |
| Landowners | Fair compensation for land use, minimal environmental impact | Medium (legal rights, negotiation power) | Positive (income from land lease), Negative (impact on property value, environmental concerns) |
| Construction Workers | Employment, fair wages, safe working conditions | Low to Medium (union representation, skills) | Positive (employment opportunities), Negative (temporary job, potential safety risks) |
| Local Government | Tax revenue, community development, job creation | High (regulatory authority, planning permissions) | Positive (increased revenue, improved infrastructure), Negative (potential for conflicts) |
| Future Generations | A sustainable environment, access to resources | Low (no direct voice) | Positive (cleaner energy, reduced carbon footprint), Negative (if project is poorly managed) |
| Environment | Protection of biodiversity, minimal land use changes, reduced pollution | Low (represented by environmental groups/regulations) | Positive (reduced reliance on fossil fuels), Negative (habitat disruption, visual pollution) |
| Regional Economy | Growth of businesses, new jobs | Medium (overall economic activity) | Positive (increased employment, regional development), Negative (if project fails) |
4. Data Analysis and Interpretation
- Identify the Three Poles: State/Authorities, Local Businesses, Local Community.
- Information & Sensitization: Educate stakeholders and facilitate discussion around shared local values or themes to foster empathy.
- Bargaining & Strategy: Stakeholders ask: "What's best for me, the other party, and the community?".
- Behavioral Shift: Technical issues (e.g., land use) become collaborative projects (e.g., eco-tourism development).
- Equilibrium: A conceptual equilibrium is reached where all three parties achieve their goals, preventing zero-sum outcomes.
- Application Example: A local government, tourism business, and community group use the model to develop rural tourism, creating economic gains for the business (Win 1), improved local services (Win 2, Social), and preservation of natural heritage (Win 3, Environment).
Key elements and principles of the model include:
- Three Stakeholders: It transforms a two-party negotiation (e.g., business and a citizen, or labor and management) into a three-party interaction by formally including the Community (or society, the environment, common values) as the "third attractor" or the "C factor".
- Beyond Instrumental Rationality: The model suggests that traditional economic rationality (pure self-interest and profit maximization) is insufficient for resolving complex, real-world conflicts, especially at the local level. It integrates behavioral analysis, empathy, and social trust as essential components of the negotiation process, moving from an individualistic to a communitarian perspective.
- Social Welfare and Cohesion: A primary goal is to generate outcomes that enhance social cohesion and community welfare, thus converting potential "value destruction" (e.g., from conflict or a purely win-lose approach) into "value creation" for society as a whole.
- Sensitization Process: The model incorporates a "sensitization process" through which the involved parties become more aware of the community's needs and the broader impact of their decisions. This process is intended to lead towards "absolute cooperation" as the optimal long-term strategy for all players.
- Dynamic Systems Approach: It uses concepts from game theory, dynamic systems analysis, and the "butterfly effect" to analyze how small changes in initial conditions (like incorporating community welfare into negotiations) can significantly affect the entire system over time.
4.1 Utility-Welfare Function
4.1.1 Utility
In economics, utility function is an important concept that measures preferences over a set of goods and services. Utility represents the satisfaction that consumers receive for choosing and consuming a product or service[1].
Utility is measured in units called utils, but calculating the benefit or satisfaction that consumers receive from is abstract and difficult to pinpoint. As a result, economists measure utility in terms of revealed preferences by observing consumers' choices. From there, economists create an ordering of consumption baskets from least desired to the most preferred.
Understanding Utility Function
In economics, the utility function measures the welfare or satisfaction of a consumer as a function of consumption of real goods such as food or clothing. Utility function is widely used in the rational choice theory to analyze human behavior.
When economists measure the preferences of consumers, it's referred to ordinal utility. In other words, the order in which consumers choose one product over another can establish that consumers assign a higher value to the first product. Ordinal utility measures how consumers rank one product versus another.
Economists take the utility-function concept one step farther by assigning a numerical value to the products that consumers choose or choose not to consume. Assigning a value of utility is called cardinal utility, and the metric used to it is called utils.
For example, in certain situations, tea and coffee can be considered perfect substitutes for each other, and the appropriate utility function must reflect such preferences with a utility form of u(c, t) = c + t, where "u" denotes the utility function and "c" and "t" denote coffee and tea. Economists might conclude that a consumer who consumes one pound of coffee and no tea derives a utility of 1 util.
Within economics, the concept of utility is used to model worth or value. Its usage has evolved significantly over time. The term was introduced initially as a measure of pleasure or satisfaction within the theory of utilitarianism by moral philosophers such as Jeremy Bentham and John Stuart Mill. The term has been adapted and reapplied within neoclassical economics, which dominates modern economic theory, as a utility function that represents a consumer's preference ordering over a choice set. It is devoid of its original interpretation as a measurement of the pleasure or satisfaction obtained by the consumer from that choice.
Consider a set of alternatives facing an individual, and over which the individual has a preference ordering. A utility function is able to represent those preferences if it is possible to assign a real number to each alternative, in such a way that alternative a is assigned a number greater than alternative b if, and only if, the individual prefers alternative a to alternative b. In this situation an individual that selects the most preferred alternative available is necessarily also selecting the alternative that maximizes the associated utility function. In general economic terms, a utility function measures preferences concerning a set of goods and services. Often, utility is correlated with words such as happiness, satisfaction, and welfare, and these are hard to measure mathematically. Thus, economists utilize consumption baskets of preferences in order to measure these abstract, non-quantifiable ideas.

Figure 1.
Papakonstantinidis LA,2008
4.1.2 Welfare economics
Welfare economics is a branch of economics that uses microeconomic techniques to evaluate well-being (welfare) at the aggregate (economy-wide) level[1]
Attempting to apply the principles of welfare economics gives rise to the field of public economics, the study of how government might intervene to improve social welfare. Welfare economics also provides the theoretical foundations for particular instruments of public economics, including cost–benefit analysis, while the combination of welfare economics and insights from behavioral economics has led to the creation of a new subfield, behavioral welfare economics[2]
The field of welfare economics is associated with two fundamental theorems. The first states that given certain assumptions, competitive markets produce (Pareto) efficient outcomes;[3] it captures the logic of Adam Smith's invisible hand[4] The second states that given further restrictions, any Pareto efficient outcome[5] can be supported as a competitive market equilibrium.
A typical methodology begins with the derivation (or assumption) of a social welfare function, which can then be used to rank economically feasible allocations of resources in terms of the social welfare they entail. Such functions typically include measures of economic efficiency and equity, though more recent attempts to quantify social welfare have included a broader range of measures including economic freedom (as in the capability approach).
4.2 Bargaining
In mathematics, particularly within game theory and economics, bargaining refers to the strategic, axiomatic, or algorithmic analysis of how two or more parties divide a shared resource (surplus) or agree upon a joint action.
Mathematical bargaining theory focuses on determining a stable, efficient, and fair outcome, often represented as a division of utility.
Core Concepts of Mathematical Bargaining
- Bargaining Problem
![]()
in utility space, implying neither party gains anything if they don't agree.
- BATNA (Best Alternative to a Negotiated Agreement): A critical factor in determining bargaining power; higher alternatives improve a player's outcome in the Nash solution.
4.3 Two person’s bargaining theory[1]
The Bargaining Problem (Nash Solution)
The two-person bargaining problem studies how two agents share a surplus that they can jointly generate. It is in essence a payoff selection problem. In many cases, the surplus created by the two players can be shared in many ways, forcing the players to negotiate which division of payoffs to choose. There are two typical approaches to the bargaining problem. The normative approach studies how the surplus should be shared. It formulates appealing axioms that the solution to a bargaining problem should satisfy. The positive approach answers the question how the surplus will be shared. Under the positive approach, the bargaining procedure is modeled in detail as a non-cooperative game[2].
4.4 Social bargaining in terms of disagreement[3] 3-ple equilibrium
Ideal situation-the Angels’ Moment

✓ In a poetic expression, people have to set higher goals, in every interaction - negotiation so they can express their disagreement, at some point or threat point of stopping the negotiation
✓ in an even more poetic expression, people must re-start dreaming of a better life again - one of the signs of globalization is to level everything for instant euphoria
✓ but so have people stopped dreaming ... Relationships, expectations, products and even lasting products (furniture-kitchens etc) and even the heads of state and government and relationships between them have all become instant
✓ The deep wound of globalization is the conversion of everything from constant to instant
✓ People have to accept this “instant point”, without history, future, and without dreams Ignatius Ramonet supports - and not unfairly – “…the past - present and the future has been squeezed into the instant now, the supreme moment of history …... all made by the wish factory . "- 1000 cold “NO” for an emotional “YES” Buskalia
✓ Of course, every citizen has (at least theoretically the right of veto, a veto

Papakonstantinidis 2019
✓ The more sensitized is someone to a stimulus (eg environment) as "less objections" (less friction) will have to those who formulate development policies, which means that the differences between the level of satisfaction (utility function) and the disagreement point (d, disagreement point, or threat point, are gradually smoothed out. The degree of satisfaction increases as the point of objection increases gradually
✓ The difference between cold rational and sensitized behavior and their mix to maximize the expected benefit to each and every one as he / she perceives determines the level of culture of a particular - local, basic - society
The social predisposition of Humans makes the above relationship possible and the aim is to minimize the absolute difference between cold rationality and sensitized behavior: For example, protecting the natural environment
✓ It does not matter if we lose..1000 logical NO to an emotional YES… his life is endless .. always a winner

4.5 The Sharing Process
The “Sharing problem” in a Bargain [Utilities, Shares, strategies, decision- choices, behaviour, Final Agreement]
We suppose, we must share a pie
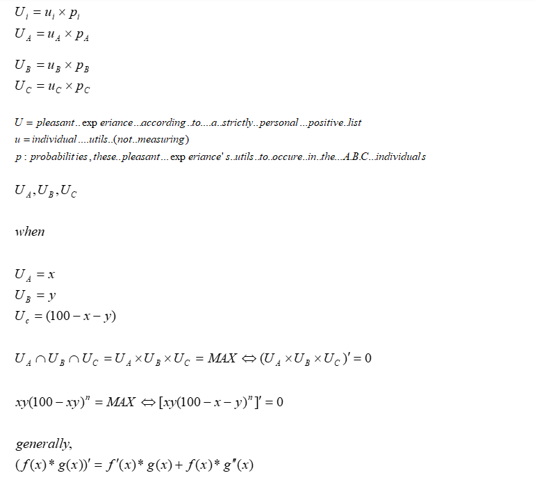
Having defined: (1) How information resulting from “knowledge creation /knowledge transfer” should contribute to what we call “social market” (2) How sensitization should be introduced to given information, as to turn it to an integrated information (Papakonstantinidis, 2006) (3) How “integrated information” should influence human behaviour during the bargain, or negotiations (4) How a human “social” behaviour could lead to a “new” perception of thinking or taking a decision, in the bargain (see at Calvert Randall, 1995, Berger, J 2005 Cinneide M. O’ 1991, Coleman J 1988, Yitzak Samuel 1997, Bernheim Douglas B. 1984 (5) How socialization could influence human choices or winning strategies during the bargain, based on instant reflection (Nash) (6) How scientific thought could transfer the problem from “utilities” (personal perception”) to pay-offs (objective perception = counting size) Harsanyi John(1973), then, the data of Table 2 may be transformed in a new set of data, as Table 3.
This table shows how the product of utilities AXBXC represents the total utility for the community
Table 3 (Papakonstantinidis Proposal)
Suggesting Sharing between “A , “B” and “C”
| Share Α
(%) |
Share Β
(%) |
Utility A | Utility B | Utility AXB | Share C
(%) |
Utility C | Utility AXBXC |
| 90 | 4 | 1 | 71 | 71 | 6 | 1 | 71 |
| 80 | 13 | 2 | 70 | 140 | 7 | 2 | 280 |
| 70 | 22 | 5 | 68 | 340 | 8 | 3 | 1020 |
| 60 | 31 | 10 | 64 | 640 | 9 | 4 | 2560 |
| 50 | 40 | 16 | 60 | 960 | 10 | 5 | 4800
max |
| 41 | 50 | 23 | 52 | 1196 | 9 | 4 | 4784 |
| 32 | 60 | 31 | 40 | 1240 | 8 | 3 | 3720 |
| 23 | 70 | 40 | 24 | 960 | 7 | 2 | 1920 |
| 14 | 80 | 50 | 12 | 600 | 6 | 1 | 600 |
(Papakonstantinidis Proposal)
Notes, as to explain the symbols:
- “C” expresses the Community (an acceptable system value at local level), as the “third” or invisible part in the bargain. In real terms, it reflects the “confidence indicators”, or, in other words, if and at which level each member of the Community trusts the other, during the bargain ( Hans 1997)
- The less shares for A+ B the more share for “ C” part
- Utility is a personal matter: Utility units are not compared to each other. They express the fear of breaking down the agreement
- If “A” needs more the “agreement” than the payoff, then he should be ready to accept any form of agreement.
Utility function: Law of diminishing marginal returns (or costs)
We start from an economic-math principle: the law of diminishing marginal returns goes by a number of different names, including law of diminishing returns, principle of diminishing marginal productivity and law of variable proportions. This law affirms that the addition of a larger amount of one factor of production, while all others remain constant, identified by the Latin term “ceteris paribus,” inevitably yields decreased per-unit incremental returns.
Two “concepts” for the utility:
- The cardinal utilityconcept: is concerns the idea of a measured quantitatively, like length, height, weight, temperature, etc
- The ordinal utilityconcept: expresses the utility of a commodity in terms of ‘less than’ or ‘more than’ in individual scale of preferences
As each tries to maximize his/her own utility function (the “personal ordinal”, not been measured as the cardinal) knows that more and more quantities over a point that he/she maximizes his/her satisfaction in personal terms, the less satisfaction from these more and more quantities. The derivative of a function of a real variable measures the sensitivity to change of a quantity (a function value or dependent variable) which is determined by another quantity (the independent variable). Derivatives are a fundamental tool of calculus.
From this “RULE” a crucial condition happens:


Figure 2.
The “win-win-win Equilibrium”
From the two graphs above, and the “Pareto Efficiency” conditions is resulted that the “utility functions” follows the law of diminishing marginal returns,
The law of diminishing marginal returns, includes the marginal productivity and law of variable proportions (Turgot (1727-1781)


Figure 3.

'Pareto Efficiency'
Pareto efficiency, also known as "Pareto optimality," is an economic state where resources are allocated in the most efficient manner, and it is obtained when a distribution strategy exists where one party's situation cannot be improved without making another party's situation worse. Pareto efficiency does not imply equality or fairness.



Figure 4.


5. Theoretical and Practical contributions
The model is primarily used as an analytical and methodological tool in fields such as:
- Local government decision-making and conflict resolution
- Sustainable tourism development
- Labor market negotiations involving the state, businesses, and citizens
- Corporate social responsibility (CSR) analysis
- Welfare economics and public policy
In essence, the model proposes that by ensuring all decisions benefit not just the immediate parties (A and B), but also the broader community (C), more ethical, stable, and sustainable outcomes can be achieved.
The Win-Win-Win Papakonstantinidis model and the Environmental, Social, and Governance (ESG) framework are highly complementary approaches to sustainable business and development, both of which emphasize the inclusion of the broader community in decision-making.
Key Differences in Approach
While their goals align, their methodological focus differs:
| Model Element | Description |
| Party A & B | Immediate stakeholders (e.g., Business, local authorities, consumers, labor unions) who negotiate to maximize their mutual utility. |
| Papakonstantinidis Model: | Primarily an analytical and behavioral tool used for conflict resolution, bargaining analysis, and local development planning. It introduces a "sensitization process" to encourage empathy and social trust among negotiating parties, leading them to consider the community's welfare. It is deeply rooted in game theory and behavioral economics.
|
| ESG Equivalent | ESG Framework: Primarily a reporting and investment framework used by investors and corporations to measure, manage, and report on sustainability and ethical impacts. ESG performance is increasingly used to attract capital, manage risk, and enhance brand reputation.
|
| Governance (G): | Refers to the internal processes, rules, and practices by which a company is directed and controlled, ensuring ethical operations and fair dealing with primary stakeholders. |
|
Community (C) |
The "third attractor" or broader society, whose welfare must be considered to achieve a stable, socially just, and sustainable outcome. Social (S): Focuses on the company's relationships with and reputation among stakeholders, including employees, customers, suppliers, and the communities where it operates.
|
| Environmental (E): In the win-win-win model, the community's interest implicitly includes environmental protection, which is essential for long-term community welfare and sustainable development. The model aims for outcomes that are beneficial for the environment, society, and the economy | |
| Overall Goal Maximizing value creation for all three parties by moving beyond narrow self-interest to a communitarian perspective. | |
Synergies
The win-win-win model provides a theoretical and philosophical foundation for the practical application of ESG principles, particularly in local contexts. It suggests that truly effective and sustainable business strategies must embed community welfare as a core negotiating outcome, not just a regulatory compliance box to check. ESG, in turn, offers concrete metrics and investor incentives that can help operationalize the "win" for the environment and society that the Papakonstantinidis model advocates for.
Ultimately, both concepts support the idea that economic success and social/environmental responsibility are intertwined, not conflicting, and that including all stakeholders leads to more resilient, ethical, and value-creating outcomes for everyone involved
Environmental & Social Guidance (often part of ESG) refers to principles, policies, and practical actions that help organizations operate responsibly toward the environment and society.
It focuses on minimizing negative impact on the planet.
Key areas
- Climate action: Reducing greenhouse gas emissions, energy efficiency, renewable energy
- Resource management: Water conservation, sustainable sourcing, circular economy
- Waste & pollution: Recycling, hazardous waste control, air & water pollution prevention
- Biodiversity: Protecting ecosystems and reducing land-use harm
- Compliance: Meeting environmental laws and international standards (e.g., ISO 14001)
Typical actions
- Carbon footprint measurement
- Environmental impact assessments
- Sustainable product design
- Environmental reporting and targets
Social Guidance
Focuses on people—employees, communities, customers, and society at large.
Key areas
- Labor practices: Fair wages, safe working conditions, no child/forced labor
- Human rights: Respect across supply chains
- Diversity & inclusion: Equal opportunity and non-discrimination
- Health & safety: Workplace and product safety
- Community engagement: Local development, education, social investment
- Customer responsibility: Data privacy, product transparency
Typical actions
- Codes of conduct
- Employee well-being programs
- Supplier social audits
- Community outreach initiatives
Where It’s Used
- Businesses & corporations (ESG strategies)
- Investments (sustainable/impact investing)
- Public sector & NGOs
- Schools & research
- Reporting frameworks (GRI, SDGs, SASB)
6. Conclusion and Recommendations
Conclusions
The Win-Win-Win Papakonstantinidis Model represents a significant evolution in game theory and behavioral economics, specifically extending the classical Nash Equilibrium to include a third, often "invisible" player: the Community. The model shifts the focus from purely individualistic, non-cooperative strategies toward a The Win-Win-Win Papakonstantinidis Model concludes that traditional game theory, while effective for individual utility maximization, is insufficient for solving complex social and organizational crises because it lacks a mechanism for social cohesion. By shifting the focus from a two-pole "conflict" to a three-pole "collaboration," the model provides a framework for sustainable development and crisis management.
- The Necessity of the "C" Factor: The model concludes that no bargain is truly stable unless the Community (C) is satisfied. In any negotiation between two parties (A and B), the community acts as a "third win" that ensures the long-term viability of the agreement.
- Failure of Imposed Reforms: In educational and governmental contexts, the model concludes that "top-down" reforms fail because they do not account for the behavioral state of the stakeholders. True transformation must be systemic and bottom-up, involving teachers, parents, and students in a "decision-making triangle."
- Sensitization as a Catalyst: The research suggests that Sensitization is the primary tool for converting individualistic "winning strategies" into "social trust behavior." This process bridges the gap between technical territory and the "behavioral community."
- Knowledge as Social Capital: The model concludes that the transfer of knowledge (from tacit to codified) is not merely an administrative task but a social one. This conversion creates the "integrated information" necessary to reduce uncertainty and smooth potential conflicts in a globalized world.
- Equilibrium of the Three Poles: Mathematically and behaviorally, the model reaches a new equilibrium point where the product of three utilities is maximized:
maxUa * Ub * Uc
This equilibrium represents the "absolute cooperation" limit, where the interests of the individual and the community become indistinguishable.
Recommendations
Based on the Win-Win-Win Papakonstantinidis Model and its applications in local development, education, and social bargaining, the following recommendations are provided for practitioners, policymakers, and researchers seeking to implement this framework for conflict resolution and social welfare.
I. Implementation of the "Sensitization" Process
The most critical recommendation for any bargaining environment is the initiation of a Sensitization Process. This involves moving beyond the "technical" aspects of a problem to the "behavioral" aspects.
- For Local Government: Instead of presenting finalized infrastructure plans to a community, authorities should engage in a pre-bargaining phase that educates the public on the long-term systemic benefits, thereby transforming the community from a passive "territory" into an active "behavioral participant."
- For Corporate Leaders: Shift from traditional CSR (Corporate Social Responsibility) as a marketing tool to CSR as a "third win" in every transaction. This requires transparent communication that shows how a purchase benefits not just the buyer and seller, but the broader social or environmental ecosystem.
II. Adoption of the "Social Player" in Public Choice
To correct the failures of traditional Public Choice theory, which often leads to regional disparities, the model recommends the formal insertion of a Social Player or Overall Arbitrator into the decision-making game.
- Institutional Reform: Legislative bodies should create "Mediation Committees" that represent the "C" (Community) factor in negotiations between the State and Local Authorities.
- Leadership Exchange: Leaders should adopt the "Leader-Member Exchange" (LMX) methodology, ensuring that the "strong" position of the leader is balanced by the collective bargaining power of the community members to generate social capital.
III. Knowledge Management and Transfer
The model emphasizes that behavior is a result of knowledge synthesis. Organizations should prioritize the conversion of Tacit Knowledge into Systemic Knowledge.
- Socialization: Encourage informal "tacit-to-tacit" exchanges among stakeholders to build empathy and "sympathized knowledge."
- Codification: Ensure that community values and ethical standards are codified into the bargaining rules to create "conceptual knowledge" that all parties can reference during conflicts.
IV. Application in Educational Crisis Management
For school administrators facing strikes or quality declines, the model recommends a Tri-Polar Bargaining Solution.
- The Decision-Making Triangle: Establish a permanent forum where Teachers (A), Students (B), and Parents/Community (C) have equal weight in school management decisions.
- Eliminating the "Fear Factor": Use the Win-Win-Win approach to reduce the "disagreement point" (the cost of a breakdown in talks). By focusing on the shared goal of "student attainment," the parties can move away from zero-sum demands toward a collective equilibrium
V. Integration of "Guanxi" Relations
In globalized or cross-cultural negotiations, practitioners should adopt the Guanxi Relations Paradigm.
- Relationship Building: Prioritize the development of deep social networks and reciprocal obligations before formal bargaining begins.
- Trust as Capital: Treat social trust not as an abstract concept but as a measurable form of "Social Capital" that reduces transaction costs and increases the efficiency of the "Win-Win-Win" outcome.
VI. Mathematical and Analytical Rigor
Researchers and analysts should move away from simple bilateral utility functions.
Utility Modeling: When modeling outcomes, use the three-dimensional formula
maxUa * Ub * Uc
to ensure that the "Third Win" is mathematically accounted for in the equilibrium.
Bayesian Analysis: Use conditional probabilities (Harsanyi’s approach) to update the "behavioral state" of the community as new information is introduced during the sensitization process.
References
- Papakonstantinidis, L. A., & Dimitropoulos, A. (2012, June 19). The Win-Win-Win Papakonstantinidis Model: A behavioral analysis in dynamical systems—The non instrumental rationality paradox (Case-study: Hellenic benefactors). In Proceedings of the 1st International Symposium on Business, Economics and Financial Applications (ISBEFA 2012) (pp. 305–329).
- Papakonstantinidis, L. A. (2012). The "Win-Win-Win Papakonstantinidis Model" as a bargaining solution analysis for local government decision from territory-community to "behavioral" community: The case of Greece. Chinese Business Review, 11(6), 535–548. https://doi.org/10.17265/1537-1506/2012.06.004
- Papakonstantinidis, L., & Aziz, S. (2020). Social bargaining: The win-win-win Papakonstantinidis model: Theory and applications. LAP Lambert Academic Publishing.
- Papakonstantinidis, L. A. (2020). The Win-Win-Win Papakonstantinidis Model: An approach between empathy and conflict strategy—An inquiry into T. Schelling's The Strategy of Conflict (1960). International Journal of Innovation and Economic Development, 6(5), 28–70. https://doi.org/10.18775/ijied.1849-7551-7020.2015.65.2003
- Nash, J. (1953). Two-person cooperative games. Econometrica, 21(1), 128–140. https://doi.org/10.2307/1906951
- Papakonstantinidis, L. A. (2002, August 14). Win-win-win model (1st presentation). SW/Euro-academy (Euracademy), Visby University, Gotland, Sweden.
- Papakonstantinidis, L. A. (2018). The Win-Win-Win Papakonstantinidis Model: Sensitization, towards the absolute cooperation—The marginal "Angels moment". Journal of International Business Research and Marketing, 4(1), 30–40. https://doi.org/10.18775/jibrm.1849-8558.2015.41.3004
- Papakonstantinidis, L. A. (2018). Marketing gaps and intersections, between education and social practice: The "Win-Win-Win Papakonstantinidis Model" and the high-risk ethical priorities (HREP). International Journal of Innovation and Economic Development, 4(2), 7–23. https://doi.org/10.18775/ijied.1849-7551-7020.2015.41.2001
- Papakonstantinidis, L. (2018). CSR: An application of the "win-win-win Papakonstantinidis model". LAP Lambert Academic Publishing.
- Kronberger, T., & Papakonstantinidis, L. (2019). Applying the Papakonstantinidis 3-ple-win-model on the social welfare system of the labor markets in Greece and Germany. Universal Journal of Management, 7(2), 39–49. https://doi.org/10.13189/ujm.2019.070201
- Papakonstantinidis, L. A. (2003). Rural tourism: Win-win-win case study women cooperative Gargaliani. Journal of Hospitality and Tourism, 1(2), 49–70.
- Papakonstantinidis, L. A. (2004a). Sensitization and involving the community: A rural development application of the Win-Win-Win Model. Scientific Review of Economic Sciences, 6, 177–192.
- Papakonstantinidis, L. A. (2004b). Operations management by a hypercube & win-win-win perspective: A local development approach. Journal of Applied Economics and Management, 2(2), 111–130.
Suggested Articles
-
The Win-Win-Win Papakonstantinidis Model: Sensitization, Towards the Absolute Cooperation
The article deals with the ideal marginal (the Angels moment) situation during and “ending” the…
-
Is Wealth A Loan? “The Win-Win-Win Papakonstantinidis Equi-Harmony Point”- The Queen’s Evidence Argument
The market-bank writes this additional capital into its assets Banks-as it is known- are interested…
-
Forming the Bargaining Win-Win-Win Papakonstantinidis Tripartite Focal Points Analysis of the Bibliography
This academic paper investigates about the fact that “The concepts of ‘focal point’ and ‘salience’…
-
Corporate Social Responsibility in Bargaining Solution by the "Win-Win-Win Papakonstantinidis Model”
This work deals with the Corporate Social Responsibility (CSR) as an application of the “win-win-win…


